Вернуться к содержанию учебника
Выберите год учебника
№37 учебника 2023-2026 (стр. 15):
Найдите значение выражения:
а) 4
- 12 при
= 7; 0; -5;
б) 2,8 - 0,5
при
= 3; 0; -6.
№37 учебника 2013-2022 (стр. 11):
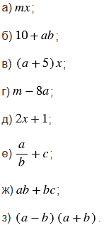
Прочитайте, пользуясь терминами "сумма", "разность", "произведение" и "частное", выражение:

№37 учебника 2023-2026 (стр. 15):
Вспомните:
№37 учебника 2013-2022 (стр. 11):
Вспомните:
№37 учебника 2023-2026 (стр. 15):
а) Если
= 7, то
4
- 12 = 4 • 7 - 12 = 28 - 12 = 16.
Если
= 0, то
4
- 12 = 4 • 0 - 12 = 0 - 12 = -12.
Если
= -5, то
4
- 12 = 4 • (-5) - 12 = -20 - 12 = -32.
б) Если
= 3,то
2,8 - 0,5
= 2,8 - 0,5 • 3 = 2,8 - 1,5 = 1,3.
Если
= 0, то
2,8 - 0,5
= 2,8 - 0,5 • 0 = 2,8 - 0 = 2,8.
Если
= -6, то
2,8 - 0,5
= 2,8 - 0,5 • (-6) = 2,8 + 3 = 5,8.
Пояснения:
Чтобы найти значение буквенного выражения, нужно в это выражение вместо переменных подставить числа, им соответствующие, и выполнить вычисления.
№37 учебника 2013-2022 (стр. 11):

Вернуться к содержанию учебника