Задание 6.35 - ГДЗ Математика 6 класс. Виленкин, Жохов. Учебник часть 2. Страница 103

Старая и новая редакции

Вернуться к содержанию учебника

6.32 6.33 6.34 6.35 6.36 6.37 6.38

Вопрос

№6.35 учебника 2021-2022 (стр. 103):

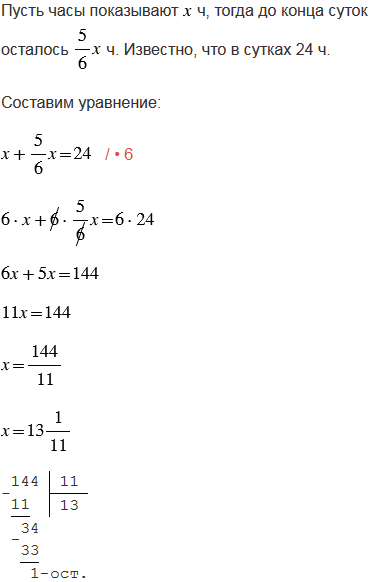
Какое время показывают часы, если до конца суток осталось того времени, которое прошло от начала суток?

Подсказка

Ответ

№6.35 учебника 2021-2022 (стр. 103):


Вернуться к содержанию учебника