Вернуться к содержанию учебника
№6.31 учебника 2021-2022 (стр. 103):
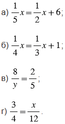
Найдите корень уравнения:

№6.31 учебника 2021-2022 (стр. 103):
Вспомните:
№6.31 учебника 2021-2022 (стр. 103):


Пояснения:
При решении уравнений из пунктов а) и б) сначала используем то, что корни уравнения не изменяются, если обе части уравнения умножить на одно и то же число, не равное нулю (умножаем левую и правую част уравнений на общий знаменатель всех дробей, входящих в это уравнение, чтобы избавиться от всех знаменателей при сокращении). Затем используем то, что если перенести слагаемое из одной части уравнения в другую с противоположным знаком, то полученное уравнение имеет те же корни, что и данное (собираем компоненты с переменной в левой части уравнения, а числа - в правой части уравнения). Далее далее в левой части уравнения приводим подобные слагаемые, а в правой - выполняем вычисления. Слагаемые, имеющие одинаковую буквенную часть, называют подобными слагаемыми. Чтобы сложить подобные слагаемые, надо сложить их коэффициенты (числа, стоящие перед буквенной частью) и полученный результат умножить на общую буквенную часть. И последним находим неизвестный множитель.
Уравнения из пунктов в) и г) представляют собой пропорции, поэтому при их решении используем основное свойство пропорции, согласно которому произведение крайних членов пропорции равно произведению ее средних членов. Затем находим неизвестный множитель.
Чтобы найти неизвестный множитель, нужно произведение разделить на известный множитель.
Вернуться к содержанию учебника