Вернуться к содержанию учебника
№6.7 учебника 2021-2022 (стр. 99):
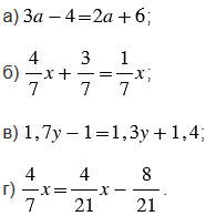
Решите уравнение:

№6.7 учебника 2021-2022 (стр. 99):
Вспомните:
№6.7 учебника 2021-2022 (стр. 99):



Пояснения:
При решении уравнений помним:
1) если перенести слагаемое из одной части уравнения в другую с противоположным знаком, то полученное уравнение имеет те же корни, что и данное;
2) корни уравнения не изменяются, если обе части уравнения умножить или разделить на одно и то же число, не равное нулю.
В уравнении а) применяем первое свойство, а в уравнениях б), в) и г) сначала применяем второе свойство, а затем первое свойство.
Чтобы раскрыть скобки, нужно множитель, стоящий за скобками, умножить на каждое слагаемое, стоящее в скобках (учитываем то, что вычитание можно заменить сложением с противоположным числом).
При переносе слагаемых, не забываем поменять у них знак на противоположный, далее в левой части привести подобные слагаемые, а в правой - выполнить вычисления. Слагаемые, имеющие одинаковую буквенную часть, называют подобными слагаемыми. Чтобы сложить подобные слагаемые, надо сложить их коэффициенты (числа, стоящие перед буквенной частью) и полученный результат умножить на общую буквенную часть.
Также при решении уравнений помним:
1) чтобы найти неизвестное слагаемое, нужно из суммы вычесть известное слагаемое;
2) чтобы найти неизвестный множитель, нужно произведение разделить на известный множитель.
Правила, по которым выполнены вычисления, смотрите в подсказке.
Вернуться к содержанию учебника