Вернуться к содержанию учебника
№5.100 учебника 2021-2022 (стр. 92):
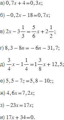
Решите уравнение:

№5.100 учебника 2021-2022 (стр. 92):
Вспомните:
№5.100 учебника 2021-2022 (стр. 92):





Пояснения:
Нам известно, что корни уравнения не изменяются:
1) Если какое-нибудь слагаемое перенести из одной части уравнения в другую, изменив при этом его знак, то есть при переносе слагаемого из левой части в правую или наоборот, мы должны поменять его знак на противоположный.
2) Если обе части уравнения умножить или разделить на одно и то же число, не равное нулю.
Для решений данных уравнений сначала избавимся от всех дробных коэффициентов, для этого умножим обе части уравнения на наименьший общий знаменатель (в пунктах с десятичными дробями, умножаем на круглое число, у которого число нулей соответствует наибольшему числу знаков после запятой). Затем соберем в левой части уравнения все слагаемые, содержащие неизвестное, а в правой - не содержащие неизвестное, затем приведем подобные слагаемые, то есть сложим их коэффициенты и полученный результат умножим на общую буквенную часть.
Правила, по которым выполнены вычисления, смотри в подсказке.
Вернуться к содержанию учебника