Вернуться к содержанию учебника
№5.60 учебника 2021-2022 (стр. 86):
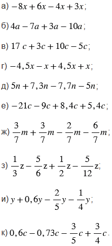
Найдите сумму подобных слагаемых:

№5.60 учебника 2021-2022 (стр. 86):
Вспомните:
№5.60 учебника 2021-2022 (стр. 86):



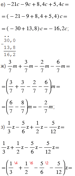
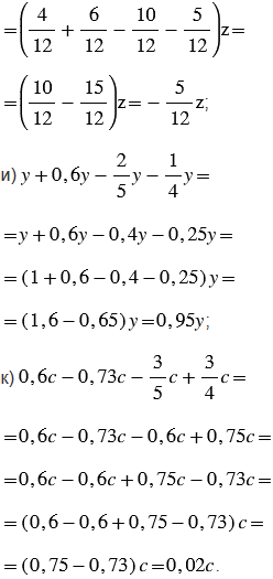
Пояснения:
Слагаемые, имеющие одинаковую буквенную часть, называют подобными слагаемыми. Чтобы сложить подобные слагаемые, надо сложить их коэффициенты (числа, стоящие перед буквенной частью) и полученный результат умножить на общую буквенную часть.
Чтобы вычисления были проще, отдельно складываем положительные числа, отдельно складываем отрицательные числа, а затем складываем полученные результаты. При этом учитываем то, что сумма противоположных чисел равна нулю (противоположные числа отличаются только знаками).
Правила, по которым выполнены вычисления, смотрите в подсказке.
Вернуться к содержанию учебника