Вернуться к содержанию учебника
№5.58 учебника 2021-2022 (стр. 86):
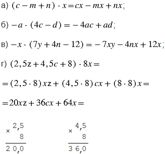
Раскройте скобки:

№5.58 учебника 2021-2022 (стр. 86):
Вспомните:
№5.58 учебника 2021-2022 (стр. 86):


Пояснения:
Чтобы раскрыть скобки, нужно множитель, стоящий за скобками, умножить на каждое слагаемое, стоящее в скобках.
Обратите внимание, если множитель, стоящий за скобками положительный, то знак произведения совпадает со знаком, стоящим перед числом в скобках, если же множитель, стоящий перед скобками отрицательный, то знак произведения противоположен знаку, стоящему перед числом в скобках.
Вернуться к содержанию учебника