Задание 4.118 - ГДЗ Математика 6 класс. Виленкин, Жохов. Учебник часть 2. Страница 27

Старая и новая редакции

Вернуться к содержанию учебника

4.115 4.116 4.117 4.118 4.119 4.120 4.121

Вопрос

№4.118 учебника 2021-2022 (стр. 27):

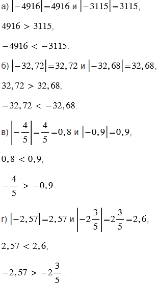
Сравните числа:

Подсказка

Ответ

№4.118 учебника 2021-2022 (стр. 27):


Вернуться к содержанию учебника