Вернуться к содержанию учебника
№4.378 учебника 2023-2026 (стр. 69):
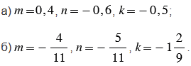
С помощью букв
,
и
запишите распределительное свойство умножения относительно сложения. Подставьте значения букв.

Проверьте получившиеся равенства.
№4.378 учебника 2023-2026 (стр. 69):
Вспомните:
Вернуться к содержанию учебника