Задание 5.416 - ГДЗ Математика 5 класс. Виленкин, Жохов. Учебник часть 2. Страница 69

Старая и новая редакции

Вернуться к содержанию учебника

5.413 5.414 5.415 5.416 5.417 5.418 5.419

Вопрос

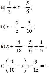
№5.416 учебника 2023-2026 (стр. 69):

№5.416 учебника 2021-2022 (стр. 69):

Найдите корень уравнения:

Подсказка

№5.416 учебника 2023-2026 (стр. 69):

№5.416 учебника 2021-2022 (стр. 69):

Вспомните:

  1. Что называют уравнением, его корни.
  2. Обыкновенные дроби (неправильные дроби).
  3. Сложение и вычитание дробей с разными знаменателями.
  4. Приведение дробей к общему знаменателю.
  5. Наименьшее общее кратное.
  6. Основное свойство дроби (сокращение дробей).
  7. Наибольший общий делитель.
  8. Сложение и вычитание дробей с одинаковыми знаменателями.

Ответ

№5.416 учебника 2023-2026 (стр. 69):

№5.416 учебника 2021-2022 (стр. 69):


Вернуться к содержанию учебника