Вернуться к содержанию учебника
Выберите год учебника
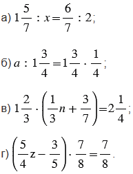
№2.432 учебника 2023-2026 (стр. 102):
Решите уравнение:

№2.432 учебника 2021-2022 (стр. 97):
Найдите:
а)
от 15;
б) 0,3 от
;
в)
от 1,5;
г) 0,25 от 4.
№2.432 учебника 2023-2026 (стр. 102):
Вспомните:
№2.432 учебника 2021-2022 (стр. 97):
Вспомните:
№2.432 учебника 2023-2026 (стр. 102):





Пояснения:
Равенство, содержащее неизвестное число, обозначенное буквой называют уравнением.
Корнем уравнения называют значение буквы, при котором уравнение становится верным числовым равенством.
Решить уравнение - значит найти все его корни (или убедиться, что это уравнение не имеет корня).
Чтобы найти неизвестный делитель, нужно делимое разделить на частное.
Чтобы найти неизвестное делимое, нужно частное умножить на делитель.
Чтобы найти неизвестный множитель, нужно произведение разделить на известный множитель.
Чтобы найти неизвестное слагаемое, нужно из суммы вычесть известное слагаемое.
Чтобы найти неизвестное уменьшаемое, нужно к разности прибавить вычитаемое.
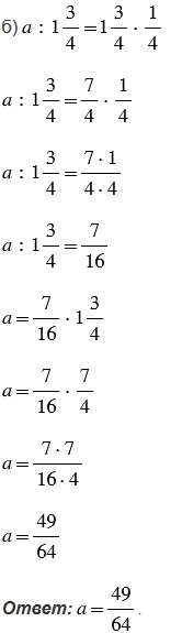
В пунктах а) и б) сначала выполняем вычисления в правой части уравнения, затем в пункте а) находим неизвестный делитель, а в пункте б) - неизвестное делимое.
В пунктах в) и г) сначала решаем каждое уравнение относительно умножения, то есть находим неизвестный множитель (выражение в скобках), затем в пункте в) находим неизвестное слагаемое и далее снова находим неизвестный множитель, а в пункте г) находим неизвестное уменьшаемое и далее снова находим неизвестный множитель.
Правила, по которым выполняем вычисления:
1) чтобы найти частное двух дробей, надо делимое умножить на число, обратное делителю. При этом помним, обратным числу
является число
;
2) произведением двух дробей является дробь, числитель которой равен произведению числителей, а знаменатель - произведению знаменателей;
3) чтобы выполнить деление смешанных чисел, нужно записать эти числа в виде неправильных дробей, а затем воспользоваться правилом деления дробей;
4) чтобы сложить (вычесть) две дроби с разными знаменателями, надо: привести данные дроби к общему знаменателю, а затем применить правило сложения (вычитания) дробей с одинаковыми знаменателями;
5) чтобы найти сумму (разность) двух дробей с одинаковыми знаменателями, нужно сложить (вычесть) их числители, а знаменатель оставить прежним.
Чтобы преобразовать смешанное число в неправильную дробь, надо целую часть числа умножить на знаменатель дробной части и к полученному произведению прибавить числитель дробной части; эту сумму записать как числитель неправильной дроби, а в ее знаменатель записать знаменатель дробной части смешанного числа.
При выполнении умножения обыкновенных дробей, чтобы вычисления были проще, не надо перемножать сразу, лучше сделать это после сокращения. Сократить дробь - значит, разделить ее числитель и знаменатель на одно и то же число (наибольший общий делитель).
Если при вычислениях получилась неправильная дробь (числитель больше знаменателя), ее нужно преобразовать в смешанное число. Чтобы неправильную дробь, числитель которой нацело не делится на знаменатель, преобразовать в смешанное число, надо числитель разделить на знаменатель; полученное неполное частное записать как целую часть смешанного числа, а остаток - как числитель его дробной части.
№2.432 учебника 2021-2022 (стр. 97):

Ответ: 1.
Пояснения:
Чтобы найти дробь от числа, нужно умножить число на эту дробь.
Если в произведении есть смешанные числа или десятичные дроби, чтобы выполнить умножение, нужно преобразовать смешанное число в неправильную дробь и, если возможно, сократить ее, а десятичную дробь нужно преобразовать в обыкновенную дробь, и также, если возможно, сократить ее.
Чтобы преобразовать смешанное число в неправильную дробь, надо целую часть числа умножить на знаменатель дробной части и к полученному произведению прибавить числитель дробной части; эту сумму записать как числитель неправильной дроби, а в ее знаменатель записать знаменатель дробной части смешанного числа.
У обыкновенной дроби в знаменателе столько нулей, сколько знаков после запятой у десятичной дроби.
Сократить дробь, значит, разделить ее числитель и знаменатель на их наибольший общий делитель.
Выполняя умножение, учитываем то, что произведение взаимно обратных чисел равно единице. При этом помним:
является число
;
- натуральное число, то обратным ему является число
.Вернуться к содержанию учебника