Вернуться к содержанию учебника
Выберите год учебника
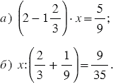
№1.162 учебника 2023-2026 (стр. 36):
Найдите корень уравнения:

№1.162 учебника 2021-2022 (стр. 35):
Найдите пересечение и объединение множеств М, N и Р, если М - множество всех степеней числа 2 с показателем от 1 до 10, N - множество всех степеней числа 4 с показателем от 1 до 5, а Р - множество всех степеней числа 8 с показателем от 1 до 3.
№1.162 учебника 2023-2026 (стр. 36):
Вспомните:
№1.162 учебника 2021-2022 (стр. 35):
Вспомните:
№1.162 учебника 2023-2026 (стр. 36):


Пояснения:
Уравнение - это равенство, содержащее букву, значение которой надо найти. Корень уравнения - это число, которое при подстановке вместо буквы обращает уравнение в верное числовое равенство. Решить уравнение - значит найти все его корни или показать, что их нет вообще.
Для решения уравнений используют правило нахождения неизвестного:
множителя: чтобы найти неизвестный множитель, надо произведение разделить на известный множитель.
делимого: чтобы найти неизвестное делимое, надо частное умножить на делитель.
№1.162 учебника 2021-2022 (стр. 35):
М = {2; 4; 8; 16; 32; 64; 128; 256; 512; 1024}.
N = {4; 16; 64; 256; 1024}
Р = {8; 64; 512}
М
N
Р = {64}
М
N
Р = {2; 4; 8; 16; 32; 64; 128; 256; 512; 1024}
Пояснения:
Словом "множество" в математическом языке обозначают любую совокупность объектов или предметов, объединенных каким-либо общим признаком. Числовое множество - это множество, элементами которого являются числа. Для записи множества с помощью перечисления элементов используют фигурные скобки. Элемент множества - каждый объект (предмет), входящий в это множество.
Множество, состоящее из элементов, входящих в каждое из данных множеств, называется их пересечением. Пересечение множеств обозначают с помощью символа -
.
Множество, состоящее из элементов, входящих хотя бы в одно из данных множеств, называется их объединением. Объединение множеств обозначают с помощью символа -
.
Вернуться к содержанию учебника