Вернуться к содержанию учебника
Проверьте себя. Страница 135
№Проверочная работа №1 учебника 2021-2022 (стр. 135):
Запишите пропорцию для решения задачи:
1. За девять килограммов товара заплатили шестьдесят рублей. Сколько надо заплатить за два килограмма товара?
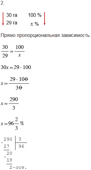
2. По плану должны были скосить рожь на тридцати гектарах. Сколько процентов плана выполнили, когда скосили двадцать девять гектаров?
3. В два бидона помещается пять литров молока. Сколько молока поместится в шесть таких бидонов?
4. Две величины прямо пропорциональны. Значение одной из этих величин выросло с 8 до 12. Чему равно отношение соответствующих значений другой величины?
Верно ли высказывание (ответьте да или нет)?
5. Рост человека прямо пропорционален его возрасту.
6. Если при увеличении одной величины в несколько раз другая увеличивается во столько же раз, то эти величины прямо пропорциональны.
7. Если число "эм" составляет двадцать процентов от числа "эн", то отношение "эм" к "эн" равно нулю целых двум десятым.
8. При постоянной скорости пройденный автобусом путь прямо пропорционален времени движения.
№Проверочная работа №1 учебника 2021-2022 (стр. 135):
Вспомните:
№Проверочная работа №1 учебника 2021-2022 (стр. 135):










Вернуться к содержанию учебника