Вернуться к содержанию учебника
Выберите год учебника
№2.534 учебника 2023-2026 (стр. 114):
Вычислите:

№2.534 учебника 2021-2022 (стр. 109):
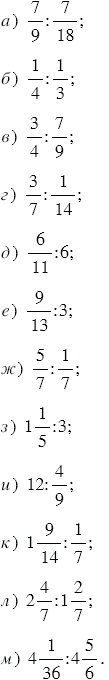
Найдите частное:

№2.534 учебника 2023-2026 (стр. 114):
Вспомните:
№2.534 учебника 2021-2022 (стр. 109):
Вспомните:
№2.534 учебника 2023-2026 (стр. 114):

|
|

|
|

| - | 1 | 4 | 3 | 1 | 3 | ||||||||||
| 1 | 3 | 1 | 1 | ||||||||||||
| - | 1 | 3 | |||||||||||||
| 1 | 3 | ||||||||||||||
| 0 |
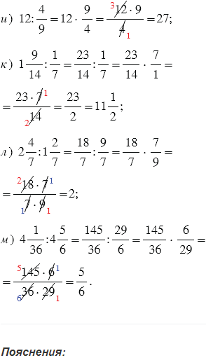
Пояснения:
Действия с дробными выражениями выполняют по правилам действий с обыкновенными дробями.
Чтобы умножить обыкновенную дробь на десятичную дробь, нужно ее числитель умножить на эту десятичную дробь, а знаменатель оставить без изменения.
Чтобы умножить смешанное число на десятичную дробь, нужно смешанное число преобразовать в неправильную дробь, а затем воспользоваться правилом умножения обыкновенной дроби на десятичную дробь.
Чтобы найти частное двух дробей, надо делимое умножить на число, обратное делителю. При этом помним, обратным числу
является число
.
Чтобы выполнить деление смешанных чисел, нужно записать эти числа в виде неправильных дробей, а затем воспользоваться правилом деления дробей.
Чтобы преобразовать смешанное число в неправильную дробь, надо целую часть числа умножить на знаменатель дробной части и к полученному произведению прибавить числитель дробной части; эту сумму записать как числитель неправильной дроби, а в ее знаменатель записать знаменатель дробной части смешанного числа.
При выполнении умножения дробей, чтобы вычисления были проще, не надо перемножать сразу, лучше сделать это после сокращения. Сократить дробь - значит, разделить ее числитель и знаменатель на одно и то же число (наибольший общий делитель).
Чтобы разделить десятичную дробь на натуральное число, нужно разделить дробь на это число, не обращая внимания на запятую и поставить в частном запятую, когда кончится деление целой части.
Чтобы умножить десятичную дробь на натуральное число, надо умножить их как натуральные числа, не обращая внимание на запятую и в полученном произведении отделить запятой справа столько цифр, сколько их стоит после запятой у умножаемой дроби.
Дробное выражение, у которого в знаменателе стоит единица, равно своему числителю.
№2.534 учебника 2021-2022 (стр. 109):


Чтобы выполнить деление, смешанные числа преобразовываем в неправильные дроби. Чтобы преобразовать смешанное число в неправильную дробь, надо целую часть числа умножить на знаменатель дробной части и к полученному произведению прибавить числитель дробной части; эту сумму записать как числитель неправильной дроби, а в ее знаменатель записать знаменатель дробной части смешанного числа.
Чтобы найти частное двух дробей, надо делимое умножить на число, обратное делителю.
При этом помним:
является число
.
- натуральное число, то обратным ему является число
.Произведением двух дробей является дробь, числитель которой равен произведению числителей, а знаменатель - произведению знаменателей.
При выполнении умножения дробей, чтобы вычисления были проще, не надо перемножать сразу, лучше сделать это после сокращения. Сократить дробь - значит, разделить ее числитель и знаменатель на одно и то же число (наибольший общий делитель).
Если при вычислениях получилась неправильная дробь (числитель больше знаменателя), преобразуем ее в смешанное число. Чтобы неправильную дробь, числитель которой нацело не делится на знаменатель, преобразовать в смешанное число, надо числитель разделить на знаменатель; полученное неполное частное записать как целую часть смешанного числа, а остаток - как числитель его дробной части.
Вернуться к содержанию учебника