Вернуться к содержанию учебника
Выберите год учебника
№331 учебника 2023-2026 (стр. 80):
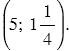
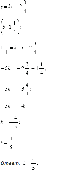
График функции
проходит через точку
Найдите коэффициент
.
№331 учебника 2013-2022 (стр. 82):
Из бака емкостью 12 л, наполненного доверху водой, равномерно вытекает вода. График зависимости V от t, где V - объем воды в баке (в литрах), а t - время вытекания воды (в минутах), построен на рисунке 42. Пользуясь графиком, найдите:
а) объем воды в баке через 3 мин;
б) время, через которое в баке осталось 4 л воды;
в) за какое время вытекла вся вода.

Рис. 42
№331 учебника 2023-2026 (стр. 80):
Вспомните:
№331 учебника 2013-2022 (стр. 82):
Вспомните:
Вернуться к содержанию учебника