Вернуться к содержанию учебника
Выберите год учебника
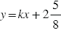
№330 учебника 2023-2026 (стр. 80):
График функции
проходит через точку
Найдите коэффициент
.
№330 учебника 2013-2022 (стр. 81):
(Для работы в парах.) На рисунке 41 изображен график зависимости массы бидона с жидкостью от объема жидкости. Найдите по графику:
а) массу пустого бидона;
б) массу бидона с одним литром жидкости;
в) массу одного литра жидкости;
г) объем жидкости в бидоне, если общая масса бидона с жидкостью равна 3 кг.
1) Выполните каждый задания а) и б).
2) Сравните полученные ответы. Исправьте ошибки, если они допущены.
3) Обсудите, как с помощью графика можно выполнить задания в) и г).

Рис. 41
№330 учебника 2023-2026 (стр. 80):
Вспомните:
№330 учебника 2013-2022 (стр. 81):
Вспомните:
Вернуться к содержанию учебника