Вернуться к содержанию учебника
№327 учебника 2023-2026 (стр. 80):
№327 учебника 2013-2022 (стр. 80):
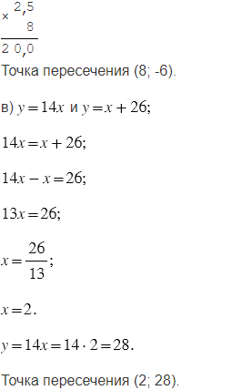
Найдите координаты точки пересечения графиков функций:

№327 учебника 2023-2026 (стр. 80):
№327 учебника 2013-2022 (стр. 80):
Вспомните:
Вернуться к содержанию учебника