Вернуться к содержанию учебника
Выберите год учебника
№607 учебника 2023-2026 (стр. 133):
Докажите, что:
а) сумма двух последовательных нечетных чисел кратна 4;
б) сумма четырех последовательных нечетных чисел кратна 8.
№607 учебника 2013-2022 (стр. 133):
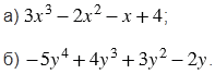
Представьте выражение в виде суммы каких-нибудь двучленов:

№607 учебника 2023-2026 (стр. 133):
Вспомните:
№607 учебника 2013-2022 (стр. 133):
Вспомните:
№607 учебника 2023-2026 (стр. 133):

Пояснения:
При доказательстве используем свойство умножения, согласно которому произведение делится на какое-либо число, если в произведении хотя бы один из множителей делится на это число.
Нечетные числа - это числа, которые не делятся на 2. Два последовательных нечетных числа отличаются друг от друга на 2, то есть каждое следующее нечетное число на 2 больше предыдущего.
При раскрытии скобок помним, если перед скобками стоит знак "+", то можно опустить скобки и этот знак "+", сохранив знаки слагаемых, стоящих в скобках. Если первое слагаемое в скобках записано без знака, то его надо записать со знаком "+".
После раскрытия скобок приводим подобные слагаемые (в решении выделены одинаковым цветом). Затем, используя распределительное свойство выносим одинаковый множитель за скобки, который делится на то число, которое нам дано, а это говорит о том, что и все произведение делится на это числа, то есть рассматриваемая сумма кратна этому числу.
№607 учебника 2013-2022 (стр. 133):

Вернуться к содержанию учебника