Вернуться к содержанию учебника
Выберите год учебника
№572 учебника 2023-2026 (стр. 127):
Представьте выражение в виде произведения двух одночленов стандартного вида, один из которых равен
:

№572 учебника 2013-2022 (стр. 129):
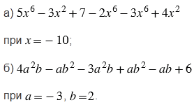
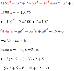
Найдите значение многочлена:

№572 учебника 2023-2026 (стр. 127):
Вспомните:
№572 учебника 2013-2022 (стр. 129):
Вспомните:
№572 учебника 2023-2026 (стр. 127):

Пояснения:
Учитываем то, что при умножении степеней с одинаковыми основаниями основание оставляют прежним, а показатели степеней складывают.
№572 учебника 2013-2022 (стр. 129):

Пояснения:
Чтобы найти значение многочлена, сначала нужно представить многочлен в стандартном виде (упростить), затем в полученный многочлен стандартного вида вместо переменных подставить числа, им соответствующие, и выполнить вычисления.
Многочлен, состоящий из одночленов стандартного вида, среди которых нет подобных, называют многочленом стандартного вида. Если одночлен представлен в виде произведения числового множителя, который стоит на первом месте, и степеней с различными основаниями, то его называют одночленом стандартного вида. Чтобы представить одночлены в стандартном виде перемножают числа с числами и степени с одинаковыми основаниями, учитывая то, что при умножении степеней с одинаковыми основаниями основание оставляют прежним, а показатели степени складывают.
Чтобы привести многочлен к стандартному виду, нужно каждый его член представить в стандартном виде и привести подобные члены. Подобные слагаемые - это слагаемые, которые имеют одинаковую буквенную часть, т.е. подобные слагаемые могут отличаться только коэффициентами (в решении подобные слагаемые выделены одинаковым цветом). Чтобы сложить (или привести) подобные слагаемые, надо сложить их коэффициенты и полученный результат умножить на общую буквенную часть.
Вернуться к содержанию учебника