Вернуться к содержанию учебника
№323 учебника 2023-2026 (стр. 80):
№323 учебника 2013-2022 (стр. 80):
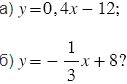
В какой точке пересекает ось
график функции, заданной формулой:

№323 учебника 2023-2026 (стр. 80):
№323 учебника 2013-2022 (стр. 80):
Вспомните:
Вернуться к содержанию учебника