Вернуться к содержанию учебника
Выберите год учебника
№211 учебника 2023-2026 (стр. 47):
Верно ли, что:

№211 учебника 2013-2022 (стр. 50):
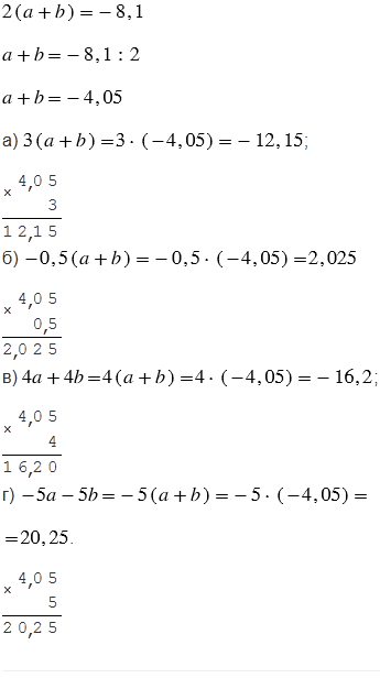
Известно, что при некоторых значениях
и
значение выражения 2(
+
) равно -8,1. Найдите при тех же значениях
и
значение выражения:

№211 учебника 2023-2026 (стр. 47):
Вспомните:
№211 учебника 2013-2022 (стр. 50):
Вспомните:
Вернуться к содержанию учебника