Вернуться к содержанию учебника
№4.373 учебника 2021-2022 (стр. 68):
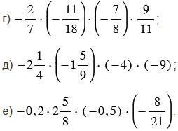
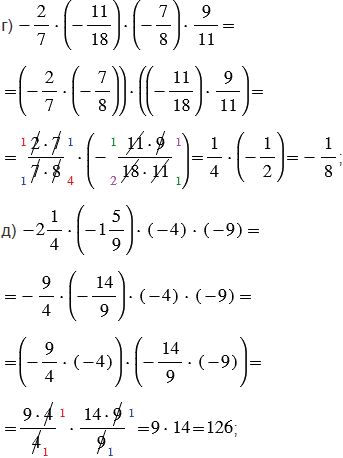
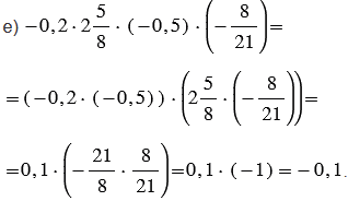
Вычислите значение выражения наиболее удобным способом:
а) 2 • (-50) • 8 • 11;
б) 15 • 4 • (-2) • (-25);
в) 0,4 • (-0,08) • (-1,5) • 12,5;

№4.373 учебника 2021-2022 (стр. 68):
Вспомните:
№4.373 учебника 2021-2022 (стр. 68):
а) 2 • (-50) • 8 • 11 =
= -(2 • 50) • (8 • 11) =
= -100 • 88 = -8800;
б) 15 • 4 • (-2) • (-25) =
= (15 • (-2)) • (4 • (-25))=
= -30 • (-100) = 3000;
в) 0,4 • (-0,08) • (-1,5) • 12,5 =
= (0,4 • (-1,5)) • ((-0,08 • 12,5) =
= -0,6 • (-1) = 0,6;


Пояснения:
Используя переместительное и сочетательное свойства умножения, группируем компоненты так, чтобы умножение сделать проще. Если в выражении встречаются только обыкновенные дроби (смешанные числа), то группируем их так, чтобы при их умножении возможно было выполнить сокращение, а если в выражении встречаются и десятичные и обыкновенные дроби (смешанные числа), то группируем отдельно десятичные дроби и отдельно обыкновенные дроби (смешанные числа).
При выполнении вычислений помним:
1) чтобы перемножить два числа с разными знаками, надо умножить их модули и перед полученным произведением поставить знак "-";
2) чтобы перемножить два отрицательных числа, надо перемножить их модули.
Вернуться к содержанию учебника