Вернуться к содержанию учебника
№4.369 учебника 2021-2022 (стр. 68):
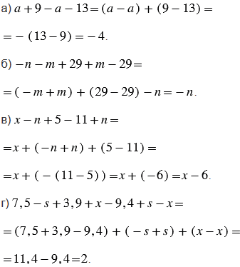
Упростите выражение:

№4.369 учебника 2021-2022 (стр. 68):
Вспомните:
№4.369 учебника 2021-2022 (стр. 68):

Пояснения:
При выполнении упрощений используем переместительное и сочетательное свойства сложения (группируем числа и буквы так, чтобы вычисления были проще), при этом помним:
1) сумма противоположных чисел (т.е. чисел отличающихся только знаками) равна нулю;
2) чтобы сложить два числа с разными знаками, надо: найти модули слагаемых; из большего модуля вычесть меньший модуль; перед полученным числом поставить знак слагаемого с большим модулем;
3) чтобы сложить или вычесть десятичные дроби, нужно записать числа столбиком так, чтобы запятая стояла под запятой. Затем выполнить действие не обращая внимание на запятую, а в ответе поставить запятую под запятой.
Вернуться к содержанию учебника