Вернуться к содержанию учебника
№4.179 учебника 2021-2022 (стр. 39):
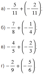
Найдите сумму:

№4.179 учебника 2021-2022 (стр. 39):
Вспомните:
№4.179 учебника 2021-2022 (стр. 39):

Пояснения:
Чтобы сложить два отрицательных числа, надо:
1) сложить их модули; 2) поставить перед полученным числом знак " - ".
Модуль числа принимает только неотрицательные значения, поэтому модуль отрицательного числа равен противоположному числу (противоположные числа отличаются только знаками).
Правила, по которым выполнены вычисления с дробями, смотрите в подсказке.
Вернуться к содержанию учебника