Вернуться к содержанию учебника
Проверьте себя
Проверочная работа
1. Установите соответствие между формулой и названием свойства действий с рациональными числами.

1. Распределительное свойство
2. Сочетательное свойство сложения
3. Переместительное свойство умножения
4. Сочетательное свойство умножения
5. Переместительное свойство сложения
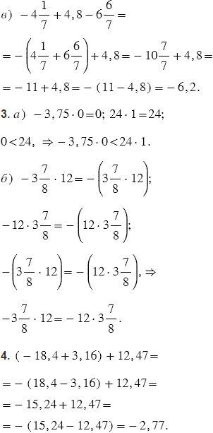
2. Вычислите удобным способом:

3. Сравните значения выражений:

4. Составьте числовое выражение и вычислите его значение: к сумме чисел -18,4 и 3,16 прибавить число 12,47.
5. Запишите число в виде дроби с положительным знаменателем:

6. Найдите значение выражения 
Вспомните:
Вернуться к содержанию учебника