Вернуться к содержанию учебника
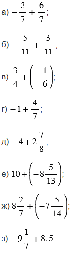
№4.221 учебника 2023-2026 (стр. 45):
Выполните сложение:

№4.221 учебника 2023-2026 (стр. 45):
Вспомните:
№4.221 учебника 2023-2026 (стр. 45):


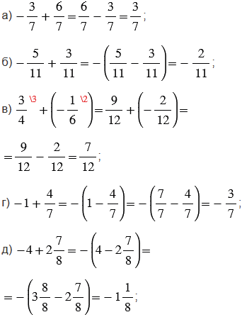
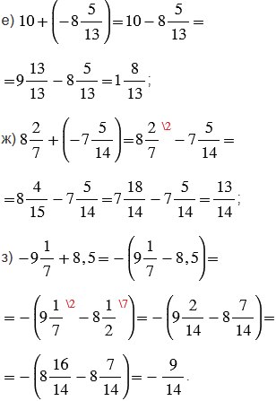
Пояснения:
Чтобы сложить два числа с разными знаками, надо: найти модули слагаемых (модуль числа принимает только неотрицательные значения); из большего модуля вычесть меньший модуль; перед полученным числом поставить знак слагаемого с большим модулем (обычно сначала определяют и записывают знак суммы, а потом в скобках находят разность модулей, если сумма в итоге получается положительной, то скобки можно не ставить).
Из двух дробей с одинаковыми знаменателями больше та дробь, у которой числитель больше.
Из двух смешанных чисел с разными целыми частями больше то смешанное число, у которого целая часть больше.
Правила, по которым выполнены вычисления, смотрите в подсказке.
Вернуться к содержанию учебника