Вернуться к содержанию учебника
№4.222 учебника 2023-2024 (стр. 45):
В виде суммы каких двух равных слагаемых можно представить число:
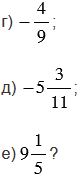
а) 20;
б) -6;
в) -8,2;

№4.222 учебника 2023-2024 (стр. 45):
Вспомните:
№4.222 учебника 2023-2024 (стр. 45):
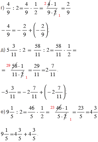
а) 20 : 2 = 10
20 = 10 + 10;
б) 6 : 2 = 3
-6 = -3 + (-3);
в) 8,2 : 2 = 4,1
-8,2 = -4,1 + (-4,1);

Пояснения:
Чтобы определить в виде суммы каких двух равных слагаемых можно представить число, нужно модуль числа разделить на 2.
Учитывая то, что слагаемые должны быть одинаковые, мы получим в сумме положительное число, если слагаемые будут положительными, и отрицательное, если слагаемые будут отрицательными, т.к. чтобы сложить два отрицательных числа, надо: найти модули слагаемых (модуль числа принимает только неотрицательные значения); сложить модули слагаемых; перед полученным числом поставить знак " - " (обычно знак минус выносят за скобки и в скобках находят сумму модулей).
Вернуться к содержанию учебника