Вернуться к содержанию учебника
№4.210 учебника 2023-2026 (стр. 43):
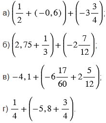
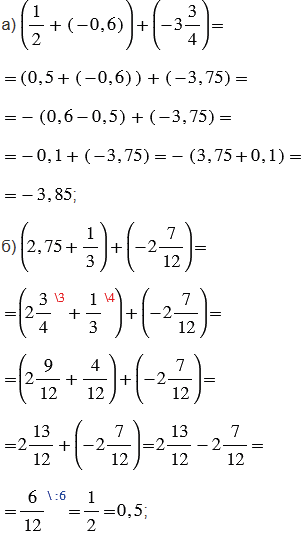
Найдите значение выражения:

№4.210 учебника 2023-2026 (стр. 43):
Вспомните:
№4.210 учебника 2023-2026 (стр. 43):


Пояснения:
При выполнении действий сначала выполняем действия в скобках, а затем за скобками (обратите внимание, есть скобки, которые указывают не арифметическое действие, а отрицательное число).
Чтобы сложить два числа с разными знаками, надо: найти модули слагаемых (модуль числа принимает только неотрицательные значения); из большего модуля вычесть меньший модуль; перед полученным числом поставить знак слагаемого с большим модулем (обычно сначала определяют и записывают знак суммы, а потом в скобках находят разность модулей, если сумма в итоге получается положительной, то скобки можно не ставить).
Чтобы сложить два отрицательных числа, надо: найти модули слагаемых (модуль числа принимает только неотрицательные значения); сложить модули слагаемых; перед полученным числом поставить знак " - " (обычно знак минус выносят за скобки и в скобках находят сумму модулей).
Правила, по которым выполнены вычисления с десятичными дробями, обыкновенными дробями и смешанными числами, смотрите в подсказке.
Вернуться к содержанию учебника