Вернуться к содержанию учебника
№4.212 учебника 2023-2024 (стр. 44):
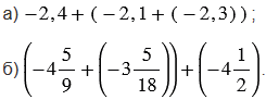
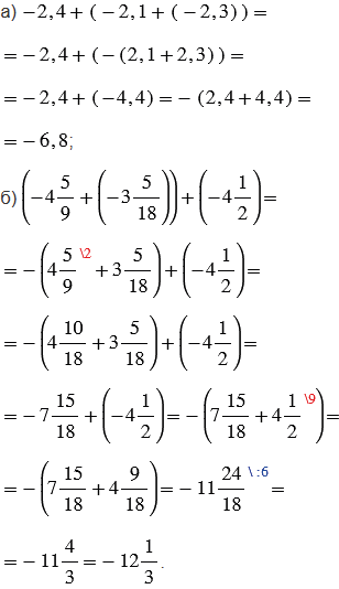
Выполните действие сложения:

№4.212 учебника 2023-2024 (стр. 44):
Вспомните:
№4.212 учебника 2023-2024 (стр. 44):

Пояснения:
Чтобы сложить два отрицательных числа, надо: найти модули слагаемых (модуль числа принимает только неотрицательные значения); сложить модули слагаемых; перед полученным числом поставить знак " - " (обычно знак минус выносят за скобки и в скобках находят сумму модулей).
Правила, по которым выполнены вычисления с дробями, смотрите в подсказке.
Вернуться к содержанию учебника