Вернуться к содержанию учебника
№5.39 учебника 2023-2024 (стр. 11):
№5.39 учебника 2021-2022 (стр. 11):
Выполните действия:
а) 7055•60 + 49 610 : 82 • 104;
б) (2 175 289 + 865 439) : 536 - 2429;
в) (143 + 73) : (14 - 7);
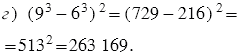
г) (93 - 63)2.
№5.39 учебника 2023-2024 (стр. 11):
№5.39 учебника 2021-2022 (стр. 11):
№5.39 учебника 2023-2024 (стр. 11):
№5.39 учебника 2021-2022 (стр. 11):

|
|
||||||||||||||||||||||||||||||||||||||||||||||||||||||||||||||||||||||||||||||
|
|

|
|||||||||||||||||||||||||||||||||||||||||||||||||||||||||||||||||||||||||||||||||||||||||||||||||||||||||||||||||||||||||||||||||||||||||||||||||||||||||||
|
|
||||||||||||||||||||||||||||||||||||||||||||||||||||||||||||||||||||||||||||||||||||||||||||||||||||||||||||||||||||||||||||||||||||||||||||||||||||||||||

|
|
||||||||||||||||||||||||||||||||||||||||||||||||||||||||||||||||||||||||||
|
|
||||||||||||||||||||||||||||||||||||||||||||||||||||||||||||||||||||||||||
|

|
|
|||||||||||||||||||||||||||||||||||||||||||||||||||||||||||
|
|
Пояснения:
Степенью числа "
" с натуральным показателем "
", большим 1, называется произведение "
" одинаковых множителей, каждый из которых равен числу "
".
Выражение "
" читают так: "
в степени
" или "
- ая степень числа
", и называют степенью. При этом в этой записи число "
" называют основанием степени, а число "
", которое показывает число множителей в произведении, - показателем степени.
Возведение числа в степень - это пятое арифметическое действие.
Порядок выполнения действий:
1) Если в числовое выражение входит степень, то сначала выполняют возведение в степень, а потом - остальные действия, в соответствии с правилами указанными ниже.
2) Если в выражении нет скобок и оно содержит только сложение и вычитание, то действия выполняют по порядку слева направо.
3) Если в выражении нет скобок и оно содержит только умножение и деление, то действия выполняют по порядку слева направо.
4) Если в выражении нет скобок и оно содержит сложение, вычитание, умножение и деление, то сначала выполняют умножение и деление по порядку слева направо, а потом сложение и вычитание также по прядку слева направо.
5) Если в выражении есть скобки, то сначала выполняют действия в скобках, учитывая при этом правила 1, 2, 3 и 4.
Красные числа, стоящие сверху над действиями и над степенями, показывают в каком порядке нужно выполнять вычисления.
Вернуться к содержанию учебника