Задание 3.145 - ГДЗ Математика 6 класс. Виленкин, Жохов. Учебник часть 1. Страница 147

Старая и новая редакции

Вернуться к содержанию учебника

3.142 3.143 3.144 3.145 3.146 3.147 3.148

Вопрос

№3.145 учебника 2023-2026 (стр. 147):

№3.145 учебника 2021-2022 (стр. 147):

Решите задачу, составив пропорцию:

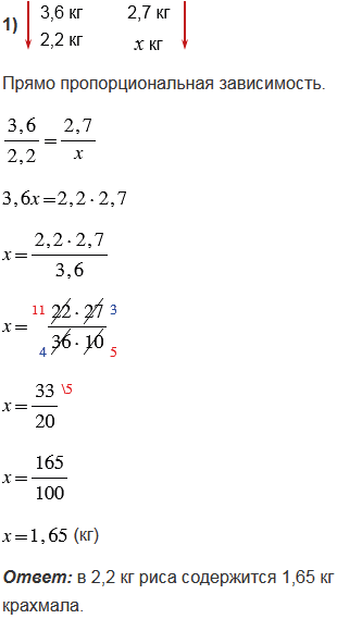
1) В 3,6 кг риса содержится 2,7 кг крахмала. Сколько крахмала содержится в 2,2 кг риса?

2) В 4,5 т сахарной свеклы содержится 2,9 т сахара. Сколько сахара содержится в 11,7 т сахарной свеклы?

Подсказка

№3.145 учебника 2023-2026 (стр. 147):

№3.145 учебника 2021-2022 (стр. 147):

Вспомните:

  1. Что называют прямо пропорциональной зависимостью.
  2. Что называют пропорцией.
  3. Что называют отношением.
  4. Что называют уравнением, его корни.
  5. Основное свойство дроби (сокращение дробей).
  6. Что называют дробным выражением.
  7. Десятичная запись дробных чисел.

Ответ

№3.145 учебника 2023-2026 (стр. 147):

№3.145 учебника 2021-2022 (стр. 147):


Вернуться к содержанию учебника