Номер 682 - ГДЗ Алгебра 7 класс. Мерзляк, Полонский. Учебник. Страница 119

Вернуться к содержанию учебника

Страница 119

679 680 681 682 683 684 685

Вопрос

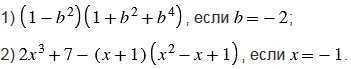
Найдите значение выражения:

Подсказка

Ответ


Вернуться к содержанию учебника