Вернуться к содержанию учебника
Выберите год учебника
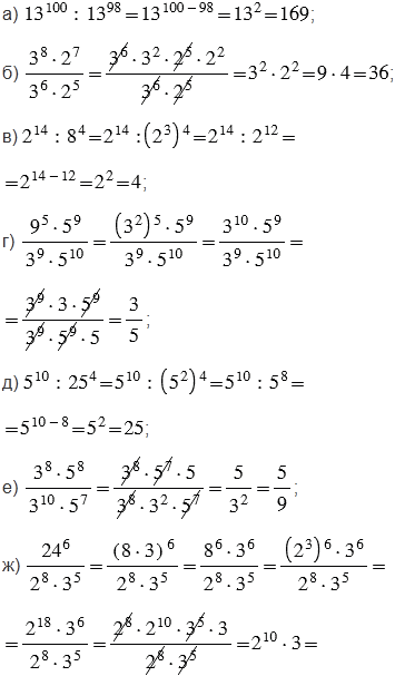
№550 учебника 2023-2026 (стр. 125):
Найдите значение выражения:

№550 учебника 2013-2022 (стр. 124):
При каком условии:
а) сумма квадратов двух чисел равна нулю;
б) квадрат суммы двух чисел равен нулю?
№550 учебника 2023-2026 (стр. 125):
Вспомните:
№550 учебника 2013-2022 (стр. 124):
Вспомните:
Вернуться к содержанию учебника