Вернуться к содержанию учебника
Выберите год учебника
№548 учебника 2023-2026 (стр. 125):
Замените
степенью с основанием
так, чтобы полученное равенство было тождеством:

№548 учебника 2013-2022 (стр. 124):
Представьте выражение в виде 

№548 учебника 2023-2026 (стр. 125):
Вспомните:
№548 учебника 2013-2022 (стр. 124):
Вспомните:
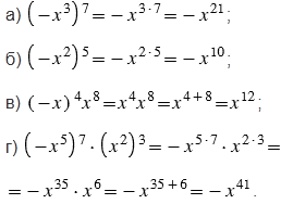
№548 учебника 2023-2026 (стр. 125):

Пояснения:
При умножении степеней с одинаковыми основаниями основание оставляют прежним, а показатели степеней складывают.
№548 учебника 2013-2022 (стр. 124):

Пояснения:
При возведении отрицательного числа в степень с чётным показателем получаем положительное число, а при возведении отрицательного числа в степень с нечётным показателем получаем отрицательное число. При этом обращаем внимание на то, что на минус, стоящий перед скобками, показатель степени не влияет, на минус, стоящий в скобках, влияет только тот показатель степени, который стоит за скобками.
При возведении степени в степень основание оставляют тем же, а показатели перемножают.
При умножении степеней с одинаковыми основаниями основание оставляют прежним, а показатели степеней складывают.
Вернуться к содержанию учебника