Вернуться к содержанию учебника
Выберите год учебника
№498 учебника 2023-2026 (стр. 114):
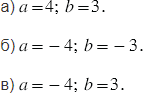
Точка А(
; -3) симметрична точке В(4;
) относительно: а) оси абсцисс; б) оси ординат; в) начала координат. Найдите значения
и
.
№498 учебника 2013-2022 (стр. 118):
Не выполняя построения, найдите координаты точки пересечения графиков функций
и 
№498 учебника 2023-2026 (стр. 114):
№498 учебника 2013-2022 (стр. 118):
№498 учебника 2023-2026 (стр. 114):

Пояснения:
Две точки, имеющие равные абсциссы и противоположные ординаты, симметричны относительно оси абсцисс.
Две точки, имеющие равные ординаты и противоположные абсциссы, симметричны относительно оси ординат.
Две точки с противоположными абсциссами и ординатами симметричны относительно начала координат.
№498 учебника 2013-2022 (стр. 118):


Вернуться к содержанию учебника