Вернуться к содержанию учебника
Выберите год учебника
№97 учебника 2023-2026 (стр. 25):
Вычислите:
а) 15,7 • 3,09 + 15,7 • 2,91;
б) 4,03 • 27,9 - 17,9 • 4,03.
№97 учебника 2013-2022 (стр. 24):
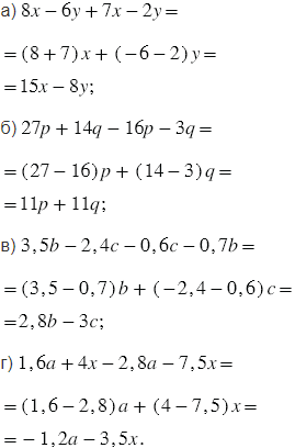
Приведите подобные слагаемые:

№97 учебника 2023-2026 (стр. 25):
Вспомните:
№97 учебника 2013-2022 (стр. 24):
Вспомните:
№97 учебника 2023-2026 (стр. 25):
а) 15,7 • 3,09 + 15,7 • 2,91 =
= 15,7 • (3,09 + 2,91) =
= 15,7 • 6 = 94,2;
| × | 1 | 5 | 7 |
| 6 | |||
| 9 | 4 | 2 |
б) 4,03 • 27,9 - 17,9 • 4,03 =
= 4,03 • (27,9 - 17,9) =
= 4,03 • 10 = 40,3.

№97 учебника 2013-2022 (стр. 24):

Пояснения:
Подобными слагаемыми называют слагаемые алгебраической суммы, имеющие одинаковую буквенную часть.
Приведением подобных слагаемых называют замену алгебраической суммы подобных слагаемых одним выражением. При этом пользуются правилом:
чтобы привести подобные слагаемые, надо сложить их коэффициенты и результат умножить на общую буквенную часть.
Вернуться к содержанию учебника