Вернуться к содержанию учебника
Выберите год учебника
№93 учебника 2023-2026 (стр. 25):
Найдите значение выражения:

№93 учебника 2013-2022 (стр. 23):
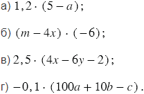
Замените выражение тождественно равным, используя распределительное свойство умножения:

№93 учебника 2023-2026 (стр. 25):
Вспомните:
№93 учебника 2013-2022 (стр. 23):
Вспомните:
Вернуться к содержанию учебника