Вернуться к содержанию учебника
Выберите год учебника
№92 учебника 2023-2026 (стр. 25):
Выполните действие и объясните, какие свойства сложения были при этом использованы:

№92 учебника 2013-2022 (стр. 23):
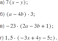
Преобразуйте выражение в тождественно равное, используя распределительное свойство умножения:

№92 учебника 2023-2026 (стр. 25):
Вспомните:
№92 учебника 2013-2022 (стр. 23):
Вспомните:
Вернуться к содержанию учебника