Задание 4.366 - ГДЗ Математика 6 класс. Виленкин, Жохов. Учебник часть 2. Страница 67

Старая и новая редакции

Вернуться к содержанию учебника

4.363 4.364 4.365 4.366 4.367 4.368 4.369

Вопрос

№4.366 учебника 2021-2022 (стр. 67):

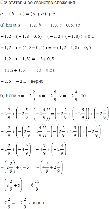
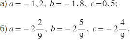
Проверьте сочетательное свойство сложения рациональных чисел 

Подсказка

№4.366 учебника 2021-2022 (стр. 67):

Вспомните:

  1. Сочетательное свойство сложения рациональных чисел.
  2. Сложение рациональных чисел.
  3. Модуль числа.
  4. Сложение и вычитание десятичных дробей.
  5. Сложение смешанных чисел.
  6. Сложение дробей с одинаковыми знаменателями.

Ответ

№4.366 учебника 2021-2022 (стр. 67):



Вернуться к содержанию учебника