Задание 4.365 - ГДЗ Математика 6 класс. Виленкин, Жохов. Учебник часть 2. Страница 67

Старая и новая редакции

Вернуться к содержанию учебника

4.362 4.363 4.364 4.365 4.366 4.367 4.368

Вопрос

№4.365 учебника 2021-2022 (стр. 67):

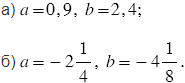
Проверьте переместительное свойство сложения 

Подсказка

№4.365 учебника 2021-2022 (стр. 67):

Ответ

№4.365 учебника 2021-2022 (стр. 67):


Вернуться к содержанию учебника