Вернуться к содержанию учебника
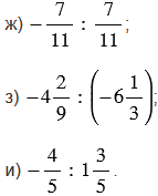
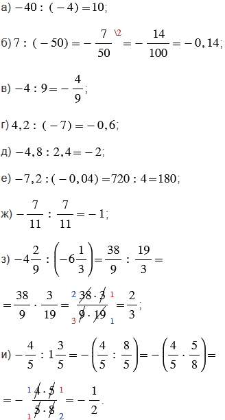
№4.355 учебника 2021-2022 (стр. 65):
Найдите частное:
а) -40 : (-4);
б) 7 : (-50);
в) -4 : 9;
г) 4,2 : (-7);
д) -4,8 : 2,4;
е) -7,2 : (-0,04);

№4.355 учебника 2021-2022 (стр. 65):
Вспомните:
№4.355 учебника 2021-2022 (стр. 65):

Пояснения:
При выполнении деления помним:
1) чтобы найти частное двух отрицательных чисел, надо разделить модуль делимого на модуль делителя;
2) чтобы найти частное двух чисел с разными знаками, надо разделить модуль делимого на модуль делителя и поставить перед полученным числом знак "-".
Правила, по которым выполнены вычисления с дробями, смотрите в подсказке.
Вернуться к содержанию учебника