Вернуться к содержанию учебника
№4.280 учебника 2021-2022 (стр. 53):
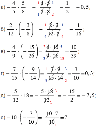
Выполните умножение:

№4.280 учебника 2021-2022 (стр. 53):
Вспомните:
№4.280 учебника 2021-2022 (стр. 53):

Пояснения:
При выполнении вычислений опираемся на следующие правила:
1) чтобы перемножить два числа с разными знаками, надо умножить их модули и перед полученным произведением поставить знак " - ", то есть произведение двух чисел с разными знаками является отрицательным числом;
2) чтобы перемножить два отрицательных числа, надо перемножить их модули, то есть произведение двух отрицательных чисел является положительным числом.
Правила вычислений с обыкновенными дробями смотрите в подсказке.
Вернуться к содержанию учебника