Задание 4.285 - ГДЗ Математика 6 класс. Виленкин, Жохов. Учебник часть 2. Страница 54

Старая и новая редакции

Вернуться к содержанию учебника

4.282 4.283 4.284 4.285 4.286 4.287 4.288

Вопрос

№4.285 учебника 2021-2022 (стр. 54):

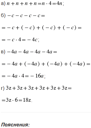
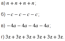
Запишите сумму в виде произведения:

Подсказка

№4.285 учебника 2021-2022 (стр. 54):

Вспомните:

  1. Буквенные выражения.
  2. Смысл умножения.
  3. Умножение положительных и отрицательных чисел.
  4. Сложение положительных и отрицательных чисел.
  5. Вычитание положительных и отрицательных чисел.

Ответ

№4.285 учебника 2021-2022 (стр. 54):


Вернуться к содержанию учебника