Вернуться к содержанию учебника
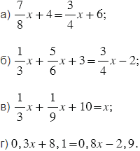
№5.98 учебника 2023-2024 (стр. 92):
Решите уравнение, умножив обе части уравнения на одно и то же число:

№5.98 учебника 2023-2024 (стр. 92):
Вспомните:
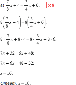
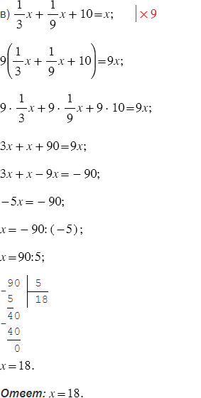
№5.98 учебника 2023-2024 (стр. 92):




Нам известно, что корни уравнения не изменяются:
1) Если какое-нибудь слагаемое перенести из одной части уравнения в другую, изменив при этом его знак, то есть при переносе слагаемого из левой части в правую или наоборот, мы должны поменять его знак на противоположный.
2) Если обе части уравнения умножить или разделить на одно и то же число, не равное нулю.
Для решений данных уравнений сначала избавимся от всех дробных коэффициентов, для этого умножим обе части уравнения на наименьший общий знаменатель (в последнем пункте нам даны десятичные дроби, в этом случае умножаем на круглое число, у которого число нулей соответствует наибольшему числу знаков после запятой). Затем соберем в левой части уравнения все слагаемые, содержащие неизвестное, а в правой - не содержащие неизвестное, затем приведем подобные слагаемые, то есть сложим их коэффициенты и полученный результат умножим на общую буквенную часть.
При этом помним, что:
Чтобы сложить два числа с разными знаками, надо:
1) найти модули слагаемых;
2) из большего модуля вычесть меньший модуль;
3) перед полученным числом поставить знак слагаемого с большим модулем.
Чтобы сложить два отрицательных числа, надо:
1) найти модули слагаемых;
2) сложить модули слагаемых;
3) перед полученным числом поставить знак "
".
Чтобы из данного числа вычесть другое, надо к уменьшаемому прибавить число, противоположное вычитаемому.
Чтобы найти частное двух отрицательных чисел, надо разделить модуль делимого на модуль делителя.
Чтобы найти частное двух чисел с разными знаками, надо разделить модуль делимого на модуль делителя и поставить перед полученным числом знак "
".
Вернуться к содержанию учебника