Вернуться к содержанию учебника
Проверьте себя
Проверочная работа
1. Выберите верное утверждение:
а) коэффициент выражения
равен 3;
б) коэффициент выражения
равен -6;
в) коэффициент выражения
равен 4.
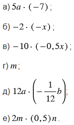
2. Определите знак коэффициента выражения:

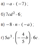
3. Определите коэффициент выражения:

Вспомните:
Вернуться к содержанию учебника