Вернуться к содержанию учебника
№4.372 учебника 2023-2024 (стр. 68):
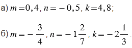
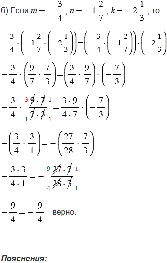
С помощью букв
,
и
запишите сочетательное свойство умножения. Подставьте значения букв:

Проверьте получившиеся равенства.
№4.372 учебника 2023-2024 (стр. 68):
Вспомните:
Вернуться к содержанию учебника