Вернуться к содержанию учебника
№4.368 учебника 2023-2026 (стр. 68):
Вычислите, используя свойство противоположных чисел:
а) 256 - 121 - 236 - 256 + 121;
б) -4,42 + 4,3 - 4,8 + 4,42 - 4,3;

№4.368 учебника 2023-2026 (стр. 68):
Вспомните:
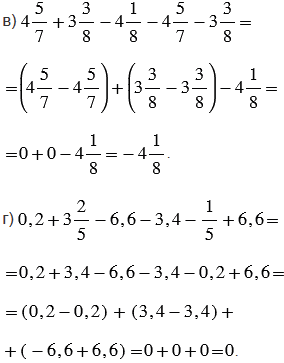
№4.368 учебника 2023-2026 (стр. 68):
а) 256 - 121 - 236 - 256 + 121 =
= (256 - 256) + (-121 + 121) - 236 =
= 0 + 0 - 236 = -236;
б) -4,42 + 4,3 - 4,8 + 4,42 - 4,3 =
= (-4,42 + 4,42) + (4,3 - 4,3) - 4,8 =
= 0 + 0 - 4,8 = -4,8;

Пояснения:
Противоположные числа - это два числа, которые отличаются друг от друга только знаками. Сумма противоположных чисел равна нулю.
Вернуться к содержанию учебника