Вернуться к содержанию учебника
№4.367 учебника 2023-2026 (стр. 68):
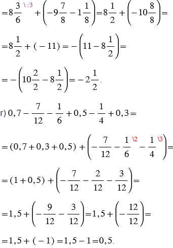
Вычислите значение алгебраической суммы:
а) -23 + 72 + 37 - 21 - 36 + 51;
б) 3,26 - 4,34 - 4,01 + 6,28 + 1,36 - 5,55;

Какие свойства рациональных чисел вы использовали?
№4.367 учебника 2023-2026 (стр. 68):
Вспомните:
№4.367 учебника 2023-2026 (стр. 68):


Ответ: при вычислениях использовали переместительное и сочетательное свойства сложения.
Пояснения:
Чтобы найти значение алгебраической суммы, обычно сначала складывают отдельно все положительные и отдельно все отрицательные числа, применяя свойства сложения (переместительное и сочетательное).
При выполнении вычислений помним:
1) чтобы сложить два отрицательных числа, надо: найти модули слагаемых; сложить модули слагаемых; перед полученным числом поставить знак "-";
2) чтобы сложить два числа с разными знаками, надо: найти модули слагаемых; из большего модуля вычесть меньший модуль; перед полученным числом поставить знак слагаемого с большим модулем;
3) чтобы сложить или вычесть десятичные дроби, нужно записать числа столбиком так, чтобы запятая стояла под запятой. Затем выполнить действие не обращая внимание на запятую, а в ответе поставить запятую под запятой;
4) чтобы выполнить сложение смешанных чисел, нужно: отдельно выполнить сложение целых частей и отдельно дробных частей, т.е. сложить числители дробей, а знаменатель оставить прежним;
5) чтобы выполнить вычитание смешанных чисел, нужно: привести дробные части этих чисел к наименьшему общему знаменателю; отдельно выполнить вычитание целых частей и отдельно дробных частей, т.е. из числителя уменьшаемого вычесть числитель вычитаемого, а знаменатель оставить прежним.
Также, при вычислениях, если возможно, выполняем сокращение.
Вернуться к содержанию учебника