Вернуться к содержанию учебника
№4.343 учебника 2023-2026 (стр. 64):
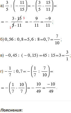
Значение выражения представьте в виде
, где
- целое число, а
- натуральное число:

б) 0,56 : 0,8;
в) -0,45 : (-0,15);

№4.343 учебника 2023-2026 (стр. 64):
Вспомните:
Вернуться к содержанию учебника