Вернуться к содержанию учебника
№4.308 учебника 2023-2026 (стр. 58):
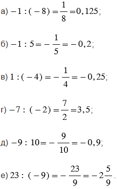
Выполните деление:
а) -1 : (-8);
б) -1 : 5;
в) 1 : (-4);
г) -7 : (-2);
д) -9 : 10;
е) 23 : (-9).
№4.308 учебника 2023-2026 (стр. 58):
Вспомните:
№4.308 учебника 2023-2026 (стр. 58):

Пояснения:
Чтобы найти частное двух чисел с разными знаками, надо разделить модуль делимого на модуль делителя и поставить перед полученным числом знак "-".
Чтобы найти частное двух отрицательных чисел, надо разделить модуль делимого на модуль делителя.
Также учитываем то, что деление можно заменить дробью, в которой числитель - делимое, знаменатель - делитель.
Вернуться к содержанию учебника